Mengapa Einstein Menyebut Bunga Majemuk sebagai Keajaiban Dunia ke-8?
Albert Einstein pernah dikaitkan dengan sebuah kutipan terkenal: “Compound interest is the eighth wonder of the world. He who understands it, earns it… he who doesn’t, pays it.”
(Bunga majemuk adalah keajaiban dunia ke-8. Siapa yang memahaminya akan mendapatkannya, siapa yang tidak memahaminya akan membayarnya.)
Meskipun tidak ada bukti historis yang kuat bahwa Einstein benar-benar mengucapkannya, maknanya tetap luar biasa dan relevan hingga kini. Mari kita bahas mengapa bunga majemuk dianggap sebagai “keajaiban dunia ke-8” — dan bagaimana ia bisa menjadi mesin pertumbuhan kekayaan yang paling kuat di dunia keuangan.
1. Apa Itu Bunga Majemuk (Compound Interest)?
Bunga majemuk adalah sistem di mana bunga tidak hanya dihitung dari modal awal, tetapi juga dari bunga yang sudah dihasilkan sebelumnya. Dengan kata lain, uang Anda menghasilkan bunga atas bunga.
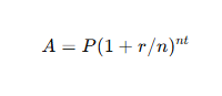
Rumus sederhananya:

di mana:
- A = jumlah akhir,
- P = modal awal (principal),
- r = tingkat bunga tahunan,
- n = frekuensi penggandaan bunga per tahun,
- t = waktu (dalam tahun).
Contoh sederhana:
Jika Anda menabung Rp10 juta dengan bunga majemuk 10% per tahun selama 10 tahun, hasil akhirnya bukan Rp20 juta, melainkan Rp25,9 juta. Tambahan Rp5,9 juta itu muncul karena efek bunga atas bunga.
2. Keajaiban dari Waktu
Waktu adalah faktor paling berharga dalam bunga majemuk. Semakin lama uang diinvestasikan, semakin eksponensial pertumbuhannya.
Inilah sebabnya Einstein menyebutnya “keajaiban dunia” — karena efeknya terlihat sederhana di awal, namun luar biasa di jangka panjang.
Contoh perbandingan:
- Orang A mulai menabung Rp1 juta per bulan sejak umur 25 tahun.
- Orang B mulai menabung Rp1 juta per bulan sejak umur 35 tahun.
Dengan bunga 10% per tahun, pada usia 60 tahun:
- Orang A punya sekitar Rp227 juta lebih banyak dibandingkan orang B, padahal hanya menabung 10 tahun lebih awal.
Itulah kekuatan time + compound interest.
3. Bekerja untuk Kamu, atau Melawan Kamu
Bunga majemuk bisa menjadi sahabat atau musuh, tergantung bagaimana kamu menggunakannya.
- Sebagai sahabat:
Jika kamu menabung atau berinvestasi, bunga majemuk bekerja untukmu — uangmu tumbuh tanpa perlu kerja tambahan. - Sebagai musuh:
Jika kamu berutang dengan bunga majemuk (misalnya kartu kredit), maka bunga tersebut bekerja melawanmu. Hutang akan tumbuh cepat jika tidak dilunasi segera.
4. Aplikasi Nyata dalam Kehidupan
Efek bunga majemuk bisa kamu temukan di berbagai instrumen keuangan:
- Tabungan & Deposito – memberikan bunga majemuk bulanan atau tahunan.
- Reksa Dana & Saham – nilai investasi bertumbuh dari return yang terus diinvestasikan kembali (reinvestasi dividen).
- Dana Pensiun – manfaat terbesar diperoleh dari konsistensi dan waktu panjang berinvestasi.
5. Kunci Utama: Konsistensi dan Kesabaran
Banyak orang ingin cepat kaya, tetapi lupa bahwa kekayaan sejati tumbuh secara bertahap. Bunga majemuk bekerja pelan tapi pasti.
Kunci utamanya:
- Mulai lebih awal, meski kecil.
- Disiplin menambah modal.
- Jangan tarik hasil terlalu cepat.
Bunga majemuk tidak hanya berlaku untuk uang, tapi juga dalam hal pengetahuan, keterampilan, dan kebiasaan positif. Semakin konsisten kamu berinvestasi pada diri sendiri, hasilnya juga akan berlipat ganda.
6. Kesimpulan
Einstein (atau siapapun yang pertama kali mengucapkannya) memahami satu hal mendalam: bunga majemuk mengajarkan kita tentang kekuatan waktu, disiplin, dan kesabaran.
Dalam dunia investasi, kamu tidak perlu menjadi jenius untuk berhasil — cukup pahami dan manfaatkan compound interest sejak dini.
